2025年11月15日,“数启天元,智算无界”2025国产科学计算软件大会暨北太天元产品发布会在北大博雅国际酒店盛大举行。政府嘉宾、多位院士、高校专家及行业领袖齐聚,共同见证北太天元2025新版本正式发布。该版本实现核心能力全面跃升,不仅新增AI智能助手、拓展多语言混合编程接口、适配多款国产软硬件,更在基础计算单元、行业模型库建设及航空、智能汽车等领域工程化解决方案上实现突破。
北太天元2025新版本已于2025年12月8日正式上线。欢迎各界伙伴积极试用、反馈,共促国产科学计算软件从“替代”迈向“超越”。

在科学计算与系统仿真领域,人工智能技术正成为突破传统研发效率瓶颈、提升计算精度与建模可靠性的关键支撑。北太天元2025围绕“精准化、专业化、场景化”三大核心目标,对AI相关能力进行系统性升级,涵盖智能助手、深度学习工具箱及统计与机器学习工具箱三大模块,旨在为基础科学研究、工程技术研发提供更贴合领域需求的智能化解决方案。
智能助手:科学计算领域的智能化辅助工具,多场景精准赋能
北太天元智能助手聚焦科学计算与系统仿真领域的核心痛点,致力于打通“业务需求-数学模型-代码实现”的转化链路,为用户提供全流程智能化辅助,降低技术门槛的同时保障研发准确性。
核心能力体系化覆盖:支持科学计算领域的智能问答、目标任务代码生成,可有效减少用户工作量,提升研发流程连贯性。
双部署模式适配不同场景需求:针对数据安全与响应效率的不同需求,提供灵活部署方案——高效率场景可接入DeepSeek、百度千帆、阿里百炼、智谱BigModel等在线模型,依托云端算力实现高效响应;数据敏感场景支持qwen、deepseek、glm等开源模型的离线部署,保障核心数据安全可控。
专有知识库提升准确性:基于北太天元软件特性与科学计算领域知识构建专有知识库,增强模型理解能力,使智能助手的响应结果与软件功能的适配度、代码生成语法的合规性显著提升,避免通用模型常见的“无中生有”“代码无法运行”等问题。
未来,智能助手将持续拓展能力边界,重点开发智能建模、实时代码补全、实验报告自动化生成等功能,进一步支撑科研流程的智能化升级。
深度学习工具箱:新增迁移学习能力,完善专业化模型开发体系
北太天元2025深度学习工具箱以“提升模型开发效率、拓展场景适配范围”为目标,新增迁移学习核心能力,完善网络组件与损失函数库,为深度学习场景提供了更坚实的技术支撑。
核心资源扩容与功能升级:新增迁移学习模块,可实现预训练模型的微调与适配;同步扩充资源库,当前已包含30+领域常用预训练模型(覆盖图像识别、时序预测、信号分析等场景)、30+迁移学习专用网络结构、40+基础网络层组件及15个损失函数(含交叉熵损失、均方误差损失等),满足不同科研场景的模型构建需求。
灵活适配多样化开发需求:支持三种核心开发模式——直接调用预训练模型快速落地基础任务(如基于ResNet模型开展材料微观结构识别)、自定义网络结构实现个性化需求(如针对量子力学数据构建专属神经网络)、通过迁移学习在小样本数据场景下实现高精度模型训练(如基于少量实验数据完成流体力学参数预测模型开发),兼顾效率与灵活性。

将AlexNet最后一层替换,可以很快速的适应新的任务结果中,a1为预测的Index,a2为预测得到的类别名,a3为原始图片名
接下来,深度学习工具箱将加入对物理信息神经网络(PINNs)的支持,从而将物理定律(如守恒定律、微分方程约束)嵌入神经网络训练,提升模型在流体力学、电磁场分析等基础科学场景的适用性;强化GPU计算适配与性能优化,支持多GPU并行训练,提升大规模数据(如高分辨率科学实验数据)的模型训练效率;此外,将持续扩充行业专用预训练模型库,提升模型对多类复杂科学场景的适配性与泛化能力。
统计与机器学习工具箱:新增100+函数!全场景数据挖掘与建模能力再升级
北太天元2025版统计与机器学习工具箱以“补全功能链路、强化实用效能”为核心,集成统计与机器学习领域核心方法与模型,新增100+高频实用函数,累计函数规模近500个,形成覆盖数据预处理、描述性统计、建模分析、假设检验、模型优化、结果评估的全流程综合性工具集,精准匹配基础科学研究与工程技术研发中各类统计分析与机器学习需求。
核心升级突出六大关键能力:
a.异常检测:新增孤立森林系列函数,高效识别异常样本;
b.聚类分析:补充评估、多聚类数量比较及可视化工具,强化结果验证;
c.回归建模:扩展至线性/广义线性/非线性回归、混合效应模型及GPR,配套诊断可视化;
d.模型优化与验证:新增贝叶斯超参数选择、时间序列交叉验证工具;
e.特征工程与分类:补充ICA、稀疏滤波等特征提取方法,强化SVM分类器及性能评估功能;
f.假设检验与方差分析:覆盖单/双/N因素分析及Friedman等非参数检验。
结合原有函数,当前已实现分类、回归、聚类、降维与特征提取、概率分布拟合、工业统计等核心方向的全覆盖,形成闭环数据分析链路。

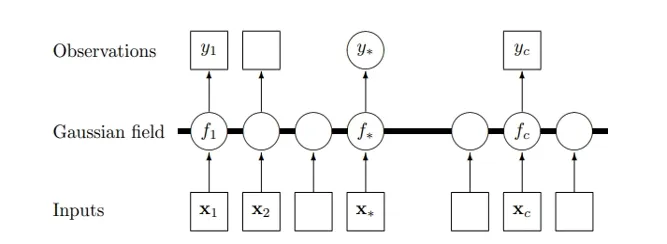
用于回归的高斯过程(GP)的图模型(链图)。方框表示观测变量,圆表示未知量。

统计与机器学习工具箱将持续扩充领域特色函数库,适配细分场景建模需求;支持分布式计算,优化大规模数据处理效能;开发自动化特征工程与模型超参数智能调优模块,进一步降低建模门槛,助力用户快速构建高精度模型。
以“AI+科学计算&系统仿真”为核心,推动技术与场景深度融合
北太天元将持续聚焦科学计算与系统仿真领域需求,以“AI重构科学计算与系统仿真全链路”为长期目标,推进技术创新。一是用AI优化计算引擎,提升数值求解(如偏微分方程求解、矩阵运算)的效率与精度;二是用AI赋能建模仿真流程,支撑复杂系统(如多物理场耦合系统)的自动化建模与验证;三是将AI技术与参数估计、实验设计、结果分析等科研环节深度结合,开发“AI+科学计算”特色解决方案。最终构建自主可控、贴合领域需求的智能化科学计算平台,为基础科学研究与工程技术研发提供更有力的支撑。
北太天元2025现已开放下载,欢迎各大科研机构、高校及企业用户申请试用。若您在使用过程中遇到技术疑问、有特定场景应用需求,或对功能优化有建议,欢迎在评论区交流分享